Notice: getimagesize(): Read error! in /var/www/dev_provent__usr/data/www/storage/modification/catalog/model/tool/image.php on line 113Notice: getimagesize(): Read error! in /var/www/dev_provent__usr/data/www/storage/modification/catalog/model/tool/image.php on line 113Notice: getimagesize(): Read error! in /var/www/dev_provent__usr/data/www/storage/modification/catalog/model/tool/image.php on line 113 Електродвигун АІМ 200 L2 (АІМ200L2) 45 кВт 3000 об /хв купити в Києві: ціна, відгуки, характеристики - Провент

Пн-Пт 9:00-18:00;

Сб-Нд вихідний

Електродвигун АІМ 200 L2 (АІМ200L2) 45 кВт 3000 об /хв

New
Електродвигун АІМ 200 L2 (АІМ200L2) 45 кВт 3000 об /хв
Електродвигун АІМ 200 L2 (АІМ200L2) 45 кВт 3000 об /хв
Електродвигун АІМ 200 L2 (АІМ200L2) 45 кВт 3000 об /хв
Модель: 1113239
Оплата
Безготівковий платіж із ПДВ
Безготівковий платіж із ПДВ
Оплата при отриманні
Оплата при отриманні
LiqPay
LiqPay
Доставка
Нова пошта
Самовивіз
Немає в наявності
0.00грн.

Опис Електродвигун АІМ 200 L2 (АІМ200L2) 45 кВт 3000 об /хв

Застосування і призначення

Серія асинхронних вибухозахищених електродвигунів АЇМ, призначені для експлуатації у вибухонебезпечних зонах, вибухонебезпечних процесів і виробництв. Лінійка цієї серії вибухозахищених двигунів складається з 63, 71, 80, 90, 100, 112, 132, 160, 180, 200,225,250, 280, 315 і 355 типорозмірів; з кількістю полюсів 2, 4, 6, 8 і 10. Вибухозахищеність електродвигунів серії АІМ мають вибухозахист РВЕхdI і ЕхdIIBT4. Експлуатація вибухозахищених двигунів серії АІМ передбачена на висоті над рівнем моря до 1000 м, хоча працездатність вони зберігають і на висоті понад 1000 м до висоти 4300 м над рівнем моря, при цьому відбувається зниження потужності двигунів. У кліматичному виконанні вибухозахищені двигуни АІМ випускаються виконань - У, УХЛ і Т, при категоріях розміщення 1,2 і 5. За способом монтажу електродвигуни вибухозахищені даної серії можуть виготовлятися в трьох універсальних конструктивних виконаннях IM 1081, IM 3081, IM 2081. Розраховані для роботи в режимі S1.

Асинхронні електродвигуни серій:

- АІМ, АІУ випускаються з прив'язкою потужностей до типоразмерам згідно ГОСТ 183-74;

- 2АІМ, 2АІУ випускаються з прив'язкою потужностей до типоразмерам згідно DIN 42673 і DIN 42677 (CENELEC).

маркування електродвигуна АІМ200 L2

Для ідентифікації параметрів електродвигуна використовується код, що складається з шести позицій. Нижче наведено приклад коду і опис кожної позиції. Для ущільнення кабелю під ввідному пристрої двигуна встановлені: гумове кільце ущільнювача і муфта нажимная. Ввідний пристрій передбачає введення кабелів круглого перетину з мідними жилами. Вивідні кінці обмотки статора припаяні до контактних болтів, які ізольовані від корпусу ввідного пристрою за допомогою ізоляторів, виконаних з прессматериала.


конструктивне виконання


Конструктивно вибухозахищені електродвигуни АІМ складаються з наступних основних деталей і складальних одиниць: станини (з поздовжніми охолоджуючими ребрами), ротора, вентилятора, кожуха, підшипникових щитів і ввідного пристрою (клемна коробка). Станина підшипникові щити і клемна коробка двигуна виконані з високоякісного сірого чавуну. У станину двигуна запресований сердечник з обмоткою і затриманий гвинтом. Обмотка виконана з круглого мідного емальованого дроту з ізоляцією класу нагрівостійкості «F» по ГОСТ 8865-87. Ротор складається з вала і запресованого на нього осердя, пази якого залиті алюмінієм. Ротор кожного електродвигуна підлягає балансуванню. Форма балансувальних вантажів, спосіб кріплення виключає їх відрив і пошкодження обмотки в процесі роботи. Сердечники статора і ротора набираються з штампованих листів холоднокатаної електротехнічної сталі (легованої кремнієм), тим самим, сприяючи підвищенню не тільки коефіцієнта корисної дії, але і коефіцієнта потужності. Листи електротехнічної сталі піддаються відпалу для видалення утворився наклепу в процесі їх штампування, після чого поверхні листа покриваються термостійким електроізоляційним покриттям. Зменшення магнітних втрат і як наслідок зниження нагріву електродвигуна сприяють збільшенню його терміну служби. Підшипникові щити кріпляться до станини болтами. Підшипниковий вузол з боку виступаючого кінця вала має пружину осьового під- жатія. У підшипникових вузлах двигунів встановлені кулькові однорядні радіальні підшипники з двома захисними шайбами. Охолодження двигунів здійснюється зовнішнім відцентровим вентилятором, розташованим на валу двигуна з боку, протилежного приводу, закріплений шпонкою, і закритого захисним сталевим кожухом. Удосконалена форма крильчатки вентилятора, а також збільшення поверхні тепловідведення зменшують загальний нагрів електродвигуна і сприяють вирівнюванню температури, тим самим, виключаючи локальні перегріви окремих ділянок і вузлів, спосіб охолодження IC0141 по ГОСТ 20459. У верхній частині двигуна розташоване ввідний пристрій. Кріплення ввідного пристрою допускає поворот на кут, кратний 90 ° в площині установки, але не бо- леї 1800 С в одну сторону, забезпечуючи таким чином підведення кабелю живлення з будь-сто-ку. Для ущільнення кабелю під ввідному пристрої двигуна встановлені: гумове уп- лотнітельное кільце і муфта нажимная. Ввідний пристрій передбачає введення кабелів круглого перетину з мідними жилами. Вивідні кінці обмотки статора припаяні до контактних болтів, які ізольовані від корпусу ввідного пристрою за допомогою ізоляторів, виконаних з прессматериала.

Монтаж і експлуатація електродвигуна АІМ 200 L2

Двигуни серій АІМ мають різні конструктивні виконання за способом монтажу в

Залежно від габариту. Умовні позначення монтажних виконань відповідно до ГОСТ

2479 (МЕК 60 34-7).

Перша цифра в позначенні - конструктивне виконання двигуна:

  • двигун на лапах з підшипниковими щитами;
  • двигун на лапах з підшипниковими щитами і фланцем на одному підшипниковому щиті
  • двигун без лап з підшипниковими щитами і фланцем на одному підшипниковому щиті
  • двигун без станини, підшипникових щитів і вала.

Друга і третя цифри в позначенні - спосіб монтажу двигуна (дивіться таблицю нижче)

Четверта цифра в позначенні - виконання вала двигуна:

  • з одним циліндровим кінцем валу;
  • з двома циліндровими кінцями валу (виготовляються на замовлення споживача)

Двигуни мають ізоляційну систему класу нагрівостійкості F (температурний індекс

155 ° С). При цьому перевищення температури обмоток статора над температурою навколишнього

середовища двигунів, що мають сервіс-фактор 1,15 - не більше 83 ° С, двигунів, що мають сервіс-

фактор 1,1 - не більше 90 ° С.


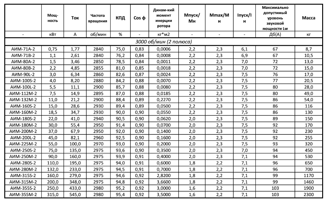
Технічні характеристики АІМ 200 L2

 

Загальні характеристики
Бренд Украина
Гарантія (міс.) 12
Країна виробник Украина
Маса 255 kg
Тип електродвигуна взрывозащищенный
Потужність 45 KW
Напруга 380 B
Число полюсів 2
Струм 82.1 A
Клас захисту IPX54
Коефіцієнт потужності 0.9

Відгуки про Електродвигун АІМ 200 L2 (АІМ200L2) 45 кВт 3000 об /хв

0
0
0
0%
0
0%
0
0%
0
0%
0
0%
Немає відгуків про цей товар.

Питання та відповіді (FAQ) Електродвигун АІМ 200 L2 (АІМ200L2) 45 кВт 3000 об /хв

Немає запитань про цей товар.

Габаритные, установочные и присоединительные размеры


Нещодавно переглянуті
Hit
New
Електродвигун АІМ 225 М2 (АІМ225М2) 55 кВт 3000 об /хв
Немає в наявності
Модель: 1113240
0.00грн.
icon_viber Viber icon_teleg Telegram icon_whatsapp WatsApp icon_callback Замовити дзвінок icon_email Написати на пошту