Опис Електродвигун АІМ 355 S4 (АІМ355S4) 250 кВт 1500 об /хв
Застосування і призначення
Серія асинхронних вибухозахищених електродвигунів АЇМ, призначені для експлуатації у вибухонебезпечних зонах, вибухонебезпечних процесів і виробництв. Лінійка цієї серії вибухозахищених двигунів складається з 63, 71, 80, 90, 100, 112, 132, 160, 180, 200,225,250, 280, 315 і 355 типорозмірів; з кількістю полюсів 2, 4, 6, 8 і 10. Вибухозахищеність електродвигунів серії АІМ мають вибухозахист РВЕхdI і ЕхdIIBT4. Експлуатація вибухозахищених двигунів серії АІМ передбачена на висоті над рівнем моря до 1000 м, хоча працездатність вони зберігають і на висоті понад 1000 м до висоти 4300 м над рівнем моря, при цьому відбувається зниження потужності двигунів. У кліматичному виконанні вибухозахищені двигуни АІМ випускаються виконань - У, УХЛ і Т, при категоріях розміщення 1,2 і 5. За способом монтажу електродвигуни вибухозахищені даної серії можуть виготовлятися в трьох універсальних конструктивних виконаннях IM 1081, IM 3081, IM 2081. Розраховані для роботи в режимі S1.
Асинхронні електродвигуни серій:
- АІМ, АІУ випускаються з прив'язкою потужностей до типоразмерам згідно ГОСТ 183-74;
- 2АІМ, 2АІУ випускаються з прив'язкою потужностей до типоразмерам згідно DIN 42673 і DIN 42677 (CENELEC).
маркування електродвигуна АІМ 355 S4
Для ідентифікації параметрів електродвигуна використовується код, що складається з шести позицій. Нижче наведено приклад коду і опис кожної позиції. Для ущільнення кабелю під ввідному пристрої двигуна встановлені: гумове кільце ущільнювача і муфта нажимная. Ввідний пристрій передбачає введення кабелів круглого перетину з мідними жилами. Вивідні кінці обмотки статора припаяні до контактних болтів, які ізольовані від корпусу ввідного пристрою за допомогою ізоляторів, виконаних з прессматериала.конструктивне виконання
Конструктивно вибухозахищені електродвигуни АІМ складаються з наступних основних деталей і складальних одиниць: станини (з поздовжніми охолоджуючими ребрами), ротора, вентилятора, кожуха, підшипникових щитів і ввідного пристрою (клемна коробка). Станина підшипникові щити і клемна коробка двигуна виконані з високоякісного сірого чавуну. У станину двигуна запресований сердечник з обмоткою і затриманий гвинтом. Обмотка виконана з круглого мідного емальованого дроту з ізоляцією класу нагрівостійкості «F» по ГОСТ 8865-87. Ротор складається з вала і запресованого на нього осердя, пази якого залиті алюмінієм. Ротор кожного електродвигуна підлягає балансуванню. Форма балансувальних вантажів, спосіб кріплення виключає їх відрив і пошкодження обмотки в процесі роботи. Сердечники статора і ротора набираються з штампованих листів холоднокатаної електротехнічної сталі (легованої кремнієм), тим самим, сприяючи підвищенню не тільки коефіцієнта корисної дії, але і коефіцієнта потужності. Листи електротехнічної сталі піддаються відпалу для видалення утворився наклепу в процесі їх штампування, після чого поверхні листа покриваються термостійким електроізоляційним покриттям. Зменшення магнітних втрат і як наслідок зниження нагріву електродвигуна сприяють збільшенню його терміну служби. Підшипникові щити кріпляться до станини болтами. Підшипниковий вузол з боку виступаючого кінця вала має пружину осьового під- жатія. У підшипникових вузлах двигунів встановлені кулькові однорядні радіальні підшипники з двома захисними шайбами. Охолодження двигунів здійснюється зовнішнім відцентровим вентилятором, розташованим на валу двигуна з боку, протилежного приводу, закріплений шпонкою, і закритого захисним сталевим кожухом. Удосконалена форма крильчатки вентилятора, а також збільшення поверхні тепловідведення зменшують загальний нагрів електродвигуна і сприяють вирівнюванню температури, тим самим, виключаючи локальні перегріви окремих ділянок і вузлів, спосіб охолодження IC0141 по ГОСТ 20459. У верхній частині двигуна розташоване ввідний пристрій. Кріплення ввідного пристрою допускає поворот на кут, кратний 90 ° в площині установки, але не бо- леї 1800 С в одну сторону, забезпечуючи таким чином підведення кабелю живлення з будь-сто-ку. Для ущільнення кабелю під ввідному пристрої двигуна встановлені: гумове уп- лотнітельное кільце і муфта нажимная. Ввідний пристрій передбачає введення кабелів круглого перетину з мідними жилами. Вивідні кінці обмотки статора припаяні до контактних болтів, які ізольовані від корпусу ввідного пристрою за допомогою ізоляторів, виконаних з прессматериала.
Монтаж і експлуатація електродвигуна АІМ 355 S4
Двигуни серій АІМ мають різні конструктивні виконання за способом монтажу в
Залежно від габариту. Умовні позначення монтажних виконань відповідно до ГОСТ
2479 (МЕК 60 34-7).
Перша цифра в позначенні - конструктивне виконання двигуна:
- двигун на лапах з підшипниковими щитами;
- двигун на лапах з підшипниковими щитами і фланцем на одному підшипниковому щиті
- двигун без лап з підшипниковими щитами і фланцем на одному підшипниковому щиті
- двигун без станини, підшипникових щитів і вала.
Друга і третя цифри в позначенні - спосіб монтажу двигуна (дивіться таблицю нижче)
Четверта цифра в позначенні - виконання вала двигуна:
- з одним циліндровим кінцем валу;
- з двома циліндровими кінцями валу (виготовляються на замовлення споживача)
Двигуни мають ізоляційну систему класу нагрівостійкості F (температурний індекс
155 ° С). При цьому перевищення температури обмоток статора над температурою навколишнього
середовища двигунів, що мають сервіс-фактор 1,15 - не більше 83 ° С, двигунів, що мають сервіс-
фактор 1,1 - не більше 90 ° С.
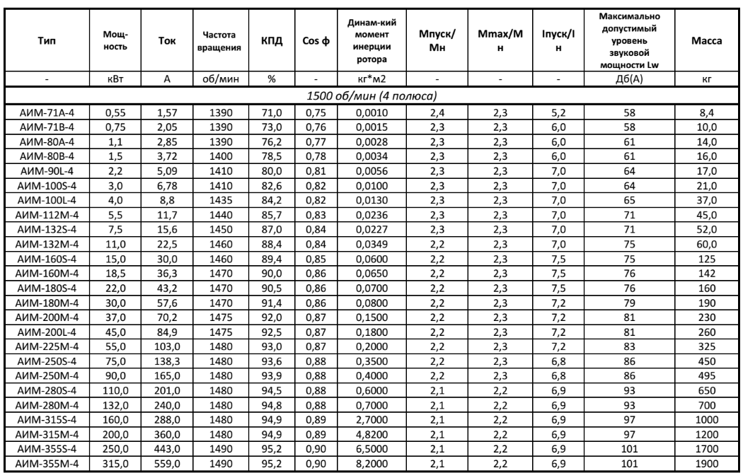
Технічні характеристики АІМ 355 S4
Відгуки про Електродвигун АІМ 355 S4 (АІМ355S4) 250 кВт 1500 об /хв
Питання та відповіді (FAQ) Електродвигун АІМ 355 S4 (АІМ355S4) 250 кВт 1500 об /хв
Габаритные, установочные и присоединительные размеры


